Demand Planning.Net
demand planning, forecasting, and exception management
More...

Calculating Demand Forecast Accuracy for a Value Chain

Understanding customer demand is key to any manufacturer to make and keep sufficient long-lead inventory so that customer orders can be correctly met. Forecasts are never perfect but are valuable in better preparedness for the actual demand.

Accurate and timely demand plans are a vital component of an effective Value Chain.  Inaccurate demand forecasts typically would result in supply imbalances. Although revenue forecast accuracy is important for corporate planning, forecast accuracy at the SKU level is critical for proper allocation of resources. For a detailed discussion on the discipline of demand planning and the several approaches adopted by best-in-class customers, see our Industry Pages

Calculating the accuracy of supply chain forecasts

When we talk about forecast accuracy in the supply chain, we typically have one measure in mind namely, the Mean Absolute Percent Error or MAPE. However, there is a lot of confusion between Academic Statisticians and corporate Supply Chain Planners in interpreting this metric. Most academics define MAPE as an average of percentage errors over a number of products. Whether it is erroneous is subject to debate. Most supply chain practitioners define and use the MAPE as the Mean Absolute Deviation divided by Average Sales. You can think of this as a volume weighted MAPE.

Given the calculation for MAD, this version of weighted MAPE is termed as PMAD or percent Mean Absolute Deviation or Relative Mean Absolute Deviation. This can also be referred to as the MAD/Mean ratio.

Definition of forecast error

Forecast Error is the deviation of the forecast quantity from the Forecast.  We take absolute values of the error because the magnitude of the error is more important than the direction of the error.  The Forecast Error can be bigger than Actual or Forecast but NOT both. Error above 100% implies a zero forecast accuracy or a very inaccurate forecast.

Decreasing errors => Increasing forecast accuracy since Forecast Accuracy is the converse of Error. 

How do you define Forecast Accuracy?  What is the impact of Large Forecast Errors? Is Negative accuracy meaningful?

Regardless of errors much higher than 100% of the actual demand or forecast demand, we interpret accuracy as a number between 0% and 100%. Either a forecast is perfect (100%) or relatively accurate or inaccurate or just plain incorrect (0%). So we constrain accuracy to be between 0 and 1. More formally, Forecast Accuracy is a measure of how close the actuals are to the forecast quantity.  If actual quantity is identical to forecast => 100% accuracy
There are other alternate forms of forecast errors used namely Mean Percent Error, Root Mean Squared Error, Tracking Signal and Forecast Bias.

Simple methodology for MAPE

This is a simple but rather unintuitive method to calculate MAPE.

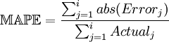
Where there are i SKU level forecasts then:
 \mathbb{MAPE} = \frac {\sum_{j=1}^i abs(Error_j)}  {\sum_{j=1}^i Actual_j}

Here are the steps to calculate the Mean Absolute Percent Error as used in the Supply Chain profession:

  • Add all the absolute errors across all items, call this A.
  • Add all the actual (or forecast) quantities across all items, call this B.
  • Divide A by B.
  • MAPE is the sum of all Errors divided by the sum of Actual (or forecast).

You can download the presentation here:

Tracking and Measurement of Forecast Accuracy and Safety Stock PDF

©2004-2009 by Demand Planning, LLC. All rights reserved. Privacy policy | Refund and Exchange policy | Terms of Service | FAQ

Consulting

Training

Industry

Knowledge Base